Friday, July 23, 2010

Punch4 monking the mother moNkey

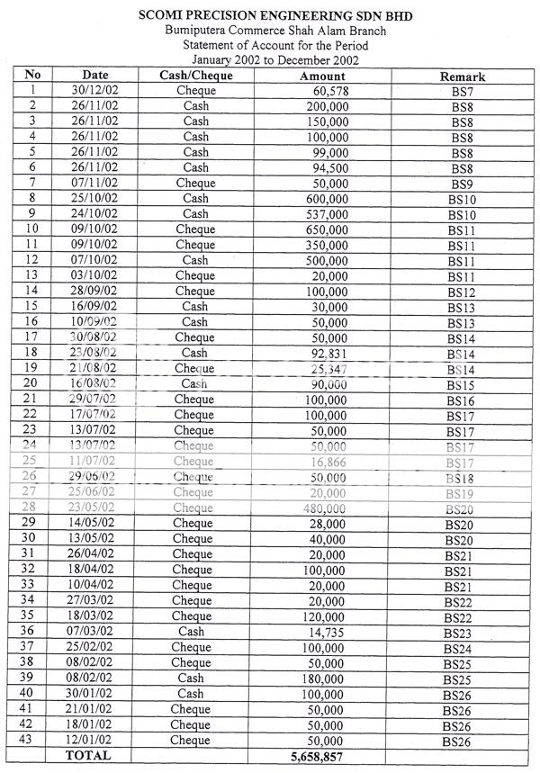
According to the statement of accounts supported by bank statements that BSA Tahir showed the Home Ministry, almost RM20 million was transferred from Libya to Malaysia to finance the production of the nuclear centrifuge. Tahir also revealed that SCOMI submitted a bogus agreement to the Security Commission for purposes of listing the company on the Malaysian stock exchange.

THE CORRIDORS OF POWER

Raja Petra Kamarudin

No comments:

Post a Comment